Quantifying Postural Instability in Parkinson’s Disease
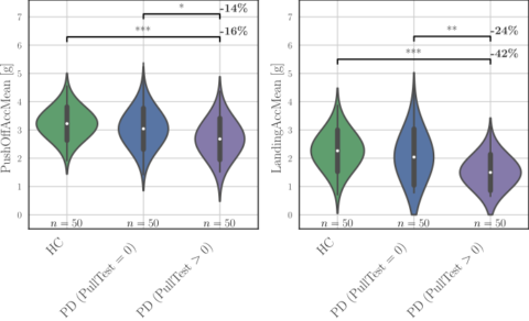
Quantifying dynamic postural stability from inertial sensor data is clinically very relevant for treatment and therapy monitoring in neuromuscular diseases, e.g. Parkinson’s disease (PD).Fast changes in the biomechanical configuration of the body require functioning postural control. To quantify these changes, we measure directional peak accelerations during ground contact and loading of the foot and aim at assessing the state of the dynamic postural control system during walking.

Following data-aquisition, we built up contextual information on the data-stream in the form of stride segmentation and gait event detection. Consecutively, the sensor orientation during each stride is estimated to account for the gravity component of the signal. Finally, key- characteristics of the gravity-free acceleration for each stride are estimated during the landing and loading phase.
The approach is tested on a dataset containing 100 idiopathic PD patients and 50 age- and weight-matched healthy controls. Experiments include group separation of the controls and PD patients with/without postural instability as assessed by the pull test and analysis of correlations to existing parameters from inertial sensor data. Both markers show significant clinical differences, specifically between the two conditions in the PD group. At least one parameter provides complementary information to the existing set of spatio-temporal gait parameters while the other one correlates highly to gait velocity but might be measurable more precisely.
Related Publications
- , , , , :
Quantifying postural instability in Parkinsonian gait from inertial sensor data during standardised clinical gait tests
In: 2017 IEEE 14th International Conference on Wearable and Implantable Body Sensor Networks (BSN), 2017, p. 129-132
DOI: 10.1109/BSN.2017.7936024
URL: http://ieeexplore.ieee.org/document/7936024/
BibTeX: Download - , , , , :
Inertial sensor-based estimation of peak accelerations during heel-strike and loading as markers of impaired gait patterns in PD patients
10. Deutscher Kongress für Parkinson und andere Bewegungsstörungen (Baden-Baden, Germany, 4. May 2017 - 6. May 2017)
DOI: 10.1016/j.baga.2017.02.002
BibTeX: Download








